By Adam Laskaris

With just one draw remaining, six of ten teams still have medal aspirations in women’s curling at Milano Cortina 2026.

Sweden and Switzerland have already clinched playoff spots, but no seeding has been set, with so much left to play for on Thursday.

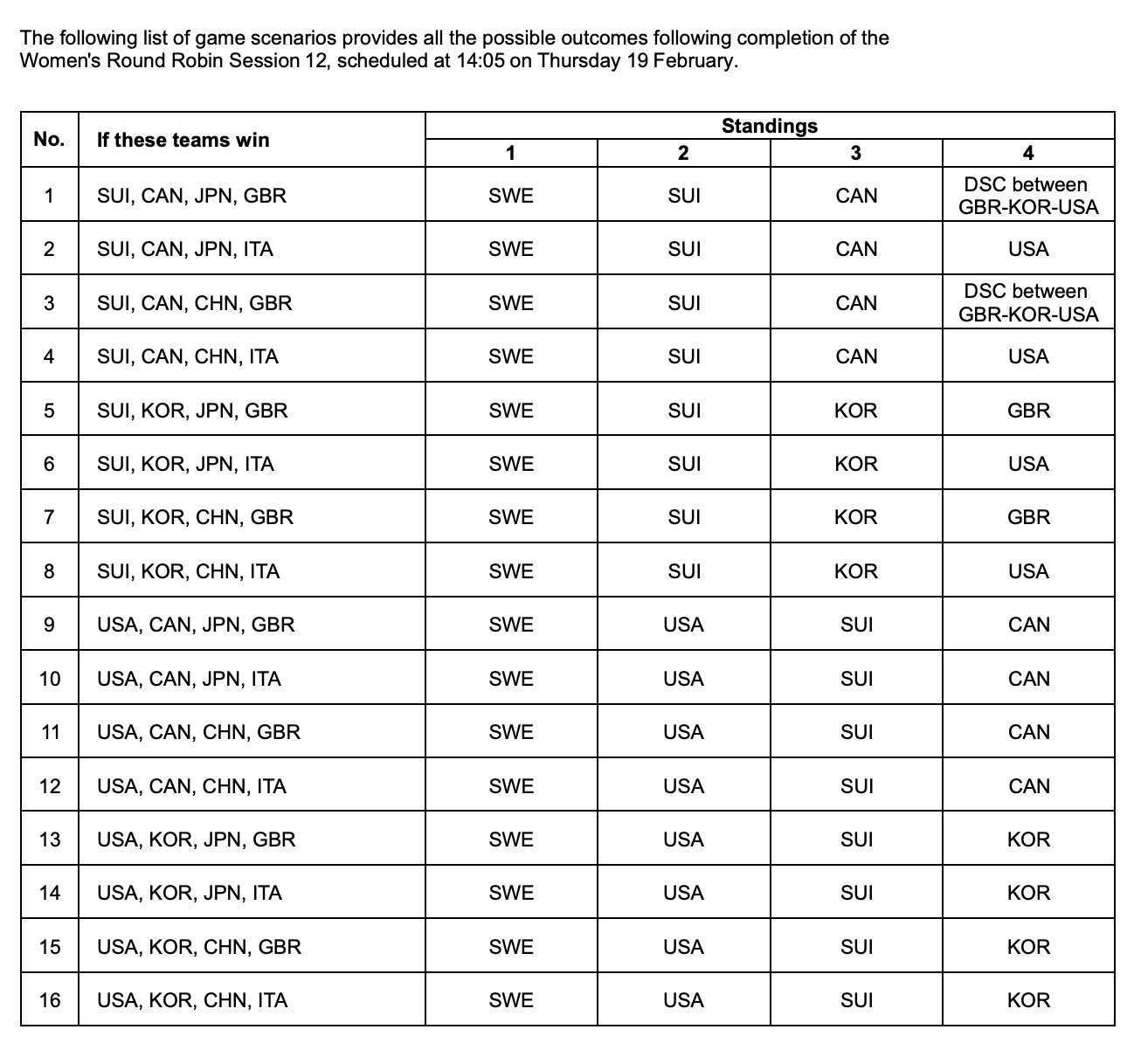
Playoff scenarios

Image
via World Curling

For a further look at each team and tomorrow’s schedule, see below.

Playing for a medal

Sweden (7-2)

There haven’t been too many blemishes on the record so far for the two-time Olympic medallists out of Sweden, who were the first team to clinch a playoff spot. A 6-0 record to start off all but clinched them a playoff spot, before back-to-back losses to Canada and Korea brought them down to earth a bit. They’ve won every game they’d be strong favourites in and only lost to two top teams.

If there is one knock, it’s that they’ve curled 66 and 77 percent respectively as a team in their last two games, dropping them to fifth overall as a team in that department. But in a week where several rinks have looked a little off, they’ve managed to weather the storm well enough to come through the round robin with at least a tie for the best record.

Switzerland (6-2)

The four-time world champions out of Switzerland were the second team to clinch a semifinal spot on Wednesday.

The week has been a solid one for the four-time world champions, although not many teams can ever claim for their only two losses to be the teams in first and last place, as they fell to both Sweden and Japan. Switzerland finishes their round robin against the Americans, who are in the midst of their own dogfight for a playoff spot.

Still in the hunt

Canada (5-3)

What a difference some adversity makes. After falling to 1-3 after four games, it was easy to wonder if the two-time defending world champion rink out of Canada had let the moment get too big for them — or at the very least, had missed a few timely shots.

While things haven’t always been easy — they gave up three in the tenth end against Italy on Wednesday before squeaking out an extra-end victory, the Canadians now find themselves in one more must-win game against Korea for a final playoff spot. One more win, and they’ll play for a medal. Lose… and well, you can expect a four-year curling discourse cycle to kick off a little early in Canada.

Korea (5-3)

Canada’s opponent on Thursday is a feisty Korean rink, who started 2-2 but have since held pace to keep themselves in medal contention as well. Their biggest victory of the week came with a win over top-ranked Sweden, with losses coming to Switzerland, Denmark, and the United States.

Currently, they’re third in the DSC rankings behind GB and Canada, so it seems like they’ll also likely need a win to move on to the semifinal round.

USA (5-3)

Like both Korea and Canada, Team USA is facing a win-and-you’re-in game (sort of).

On the positive side for them, they know they won’t have to face a team that is also in that same scenario. They’ve also got the chance of making it in with a loss, likely needing the help of an Italy win to beat Great Britain in that scenario (again, see above).

On the negative side, they’re going to face a Switzerland rink that had a 45-1 record against teams ranked outside of the top 10 in the world (per Ken Pomeroy’s doubletakeout.com rankings) this season coming into this week, which is where USA sits. A loss to Italy was the team’s one they’d most want to have back this week, but they’ll be cheering for them from a few sheets over on Wednesday should the results not be going their way.

Needing a hope and prayer

Great Britain (4-4)

Coming into the week, this rink would likely have been satisfied with the chance to remain in the playoff picture heading into their final game. After starting 0-2, a big win against Canada helped set them on a possible playoff path, also taking down Denmark, the USA and Japan so far.

Great Britain sees themselves as alive in four of sixteen scenarios detailed above, but will need a fair bit of help to do it.

For starters, they’ll need a win over Italy, a Switzerland win over the United States, and then a little bit of help in the other games, with the possibility of also needing last stone draw tiebreakers also going their way. They’re currently ranked first in that category, and could edge out Korea/USA for a final spot with identical 5-4 recores.

Swung for the fences

Denmark (4-5)

Denmark never won more than two games in a row, but they never lost more than two in a row in a week that will see them finish among the middle of the pack. Losses to Canada, Sweden, and Switzerland were perhaps to be expected for a team typically lower in the world rankings, but their win over Korea could end up having the biggest impact on the week’s playoff picture. Heading into the final game, Denmark has the lowest average team shooting percentage at 77%, but some timely shots allowed them to finish a respectable 4-5.

A heartbreaking family tragedy overshadowed the week for skip Madeleine Dupont, with her mother-in-law suffering a heart attack while in Italy cheering the team on.

Thanks for coming out

China (2-6)

After winning the final edition of the Pan Continential Championships in 2025 with a victory over Canada’s Team Homan rink, the Chinese side seemed poised to potentially make an even bigger splash on the Olympic stage.

But after starting 2-1, five straight losses — including a pair of two-loss days on Monday and Wednesday — killed any momentum the Chinese rink brought to Cortina. Their biggest issue has been failing to defend against the big end, giving up a score of four or more on three different occasions, the highest total among any team in the field.

Italy (2-6)

The lowest-ranked team in the field coming into the week, Italy didn’t exactly get inspired by a bronze medal performance from Stefania Constantini in the mixed doubles. After starting 0-5, wins over the United States and Japan gave local fans something to cheer for, with the Canadians needing an extra end to knock off the hosts on Wednesday.

Reset and regroup

Japan (1-7)

It hasn’t exactly been a week to remember for the Japanese women’s rink. Coming to the tournament after making it through the Olympic Qualification Event, the less consistent side of Team Yoshimura appears to have arrived in Cortina.

Despite beating one of the world’s best rinks in Switzerland, the Japanese team has been outscored 63-42 in their games so far, a -21 differential that’s last in the field by a full ten points. All of their losses have been by at least two points, with the Olympic performance one that won’t exactly be looked back on fondly.

Remaining schedule

Draw 12: Thursday, Feb. 19, 8:05 a.m. ET / 5:05 a.m. PT

• Canada vs. Korea
• Switzerland vs. United States
• Japan vs. China
• Great Britain vs. Italy

Semifinals: Friday, Feb. 20, 8:05 a.m. ET / 5:05 a.m. PT

• TBD

Bronze Medal Game: Saturday, Feb. 21, 8:05 a.m. ET / 5:05 a.m. PT

• TBD

Gold Medal Game: Sunday, Feb. 22, 5:05 a.m. ET / 2:05 a.m. PT

• TBD