Ten years ago, astronomers made history when they first detected ripples in spacetime, called gravitational waves, from the collision of two black holes. That moment in 2015, known as GW150914, launched a new way of observing the cosmos. Now, researchers have reached another breakthrough: a direct test of one of Stephen Hawking’s most famous predictions, the “area law” of black holes.
The study results, confirm that when two black holes collide, the total surface area of the event horizon—the invisible boundary beyond which nothing can escape—never decreases. Instead, the final black hole’s horizon area always grows larger than the combined areas of the originals.
Hawking’s Vision Put to the Test
In the 1970s, Hawking proposed that a black hole’s surface area could only increase over time, echoing the second law of thermodynamics, where entropy, or disorder, must always grow in a closed system. If the area law were ever found to be false, it would shake the foundations of Einstein’s general relativity and our understanding of the universe itself.
For decades, physicists debated whether this principle would survive the violent conditions of black hole mergers. The new analysis, based on the strongest gravitational wave signal ever recorded—GW250114—gives a clear answer: Hawking’s rule still stands.
The Loudest Gravitational Wave Yet
Gravitational waves are notoriously faint, but GW250114 was different. Detected by the Laser Interferometer Gravitational-Wave Observatory (LIGO) in the United States, along with partners Virgo in Italy and KAGRA in Japan, the event was picked up with a signal-to-noise ratio (SNR) of 80—the clearest on record.
As Geraint Pratten of the University of Birmingham explained, “GW250114 is the loudest gravitational wave event we have detected to date, it was like a whisper becoming a shout. This gave us an unprecedented opportunity to put Einstein’s theories through some of the most rigorous tests possible.”
The clarity of this signal allowed scientists to separate the data into two phases: the inspiral, when the black holes circled each other, and the ringdown, when the final black hole vibrated like a struck bell. Each stage offered enough detail to calculate the horizon areas before and after the merger.

Spectroscopic test of the Kerr nature of the remnant black hole for t> ¼ 6tMf. 90% posterior for the observed fundamental and overtone frequencies, compared to the range allowed by the Kerr spectrum (black shaded region) for any black hole mass (vertical span) and spin (horizontal span). (CREDIT: Physical Review Letters)
Measuring the Change in Horizon Area
Before the merger, the two black holes had masses about 32 times that of our Sun. Their combined surface area was estimated to be roughly 240,000 square kilometers—about the size of the United Kingdom. After the collision, the new black hole’s area expanded to nearly 400,000 square kilometers, close to the size of Sweden.
This leap wasn’t a small statistical fluke. For the portion of the signal analyzed, the increase in area reached a confidence level of more than 4σ. In physics, a result at 5σ is considered the gold standard for discovery. When using other slices of the data, the increase surpassed even that mark, making the outcome nearly impossible to dismiss as chance.
Listening to Black Hole “Voices”
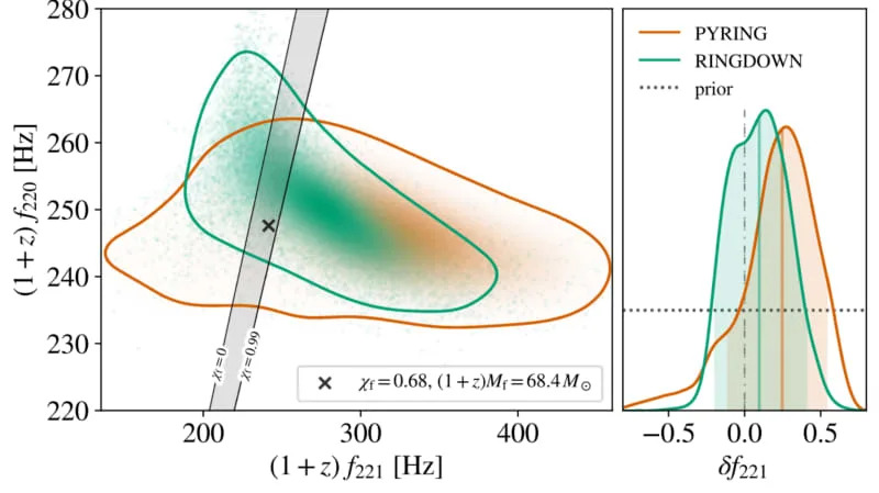
Black holes vibrate in specific patterns called quasinormal modes, similar to the way a bell rings after being struck. Each vibration is defined by a set of frequencies and damping times. For GW250114, the dominant “tone” was measured at 247 hertz, fading at about 221 hertz per second.
Gregorio Carullo, also of the University of Birmingham, highlighted the importance of this: “Given the clarity of the signal produced by GW250114, for the first time we could pick out two ‘tones’ from the black hole voices and confirm that they behave according to Kerr’s prediction.”

Fractional difference between the area of the final black hole, Af, and the initial black holes, Ai. (CREDIT: Physical Review Letters)
The Kerr metric, introduced in 1963 by mathematician Roy Kerr, describes how spacetime bends near a spinning black hole. It predicts phenomena such as light looping around the black hole and space itself being dragged. Confirming this behavior provides strong evidence that the black holes observed by LIGO and its partners truly match the mathematical picture described decades ago.
Independent From Assumptions
What makes the study especially strong is that the conclusion didn’t depend on assumptions built into the models. By treating the pre-merger and post-merger signals separately, researchers avoided biasing the outcome toward the area law. The result—that the final horizon area exceeded the sum of the initial ones—emerged directly from the data itself.
This independence sets GW250114 apart from earlier events, like the first detection in 2015. That earlier attempt to test the area law only reached 2σ confidence and leaned on assumptions about wave polarization. In contrast, the new event surpassed 5σ while excluding the messiest parts of the waveform, giving scientists confidence they were seeing the universe as it truly is.
A Boost for Einstein’s Legacy
The confirmation of the area law is a major win for Einstein’s general relativity. It proves that even under the most extreme conditions imaginable—black holes slamming together—the theory still holds.

Strain amplitudes of the fundamental mode A220 (top) and first overtone A221 (bottom) reported at the start of each analysis, t> ¼ t − tpeak, in units of tMf (bottom x axis) and milliseconds (top x axis). (CREDIT: Physical Review Letters)
Patricia Schmidt, also part of the Birmingham team, credited improvements in technology: “The detection of a black hole binary with parameters similar to those of GW150914, but three times louder, only a decade after the breakthrough discovery is owed to the tremendous technological improvements of our instruments.”
To grasp the scale of this change, consider the jump in horizon area. The black holes started with a combined surface area similar to Britain. After merging, the new black hole’s horizon ballooned to the size of Sweden. That vast increase, happening in a fraction of a second, illustrates the immense forces at play in these cosmic collisions.
Technology Driving Discovery
Behind these breakthroughs lies a network of thousands of scientists, engineers, and students who continually upgrade the sensitivity of gravitational wave detectors.
As Amit Singh Ubhi from Birmingham’s instrumentation team noted, “The exceptional signal-to-noise ratio of GW250114 showcases the collective advances in gravitational-wave instrumentation across our community. This unprecedented clarity allows us to probe black hole evolution with unmatched precision.”
The future looks even brighter. Planned upgrades to LIGO and Virgo, along with the upcoming space-based observatory LISA, promise to detect even more powerful signals. Each new event will give researchers a chance to test the deepest laws of physics, from the area law to the “no-hair theorem,” which suggests black holes can be described with only mass and spin.
GW250114, however, stands as a landmark. It shows that black holes play by the rules Hawking laid out and that Einstein’s vision of gravity continues to guide our understanding of the cosmos.
Practical Implications of the Research
These findings confirm that black holes behave exactly as physics predicts, even in the universe’s most violent events. For scientists, it means that general relativity remains a reliable framework for probing the cosmos.
For future research, the result paves the way for more precise tests of black holes, quantum gravity, and theories that attempt to unify general relativity with quantum mechanics.
The technology driving these discoveries will also filter into fields like laser physics, optics, and precision measurement, with benefits reaching far beyond astronomy.
Research findings are available online in the journal Physical Review Letters.
Related Stories
Like these kind of feel good stories? Get The Brighter Side of News’ newsletter.