
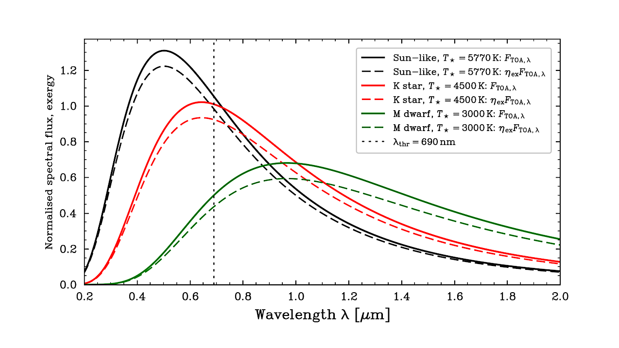
Spectral flux and exergy at the top of the atmosphere for three blackbody models, all normalized to the same bolometric flux 𝐹bol = 1361 W m2.Solid curves show 𝐹TOA,𝜆 and dashed curves 𝜂ex𝐹TOA,𝜆. The vertical line marks a PSII-like threshold at 𝜆thr = 690 nm, illustrating how the shortwavelength band available for high-Δ𝐺 photochemistry shrinks for M-type hosts. — astro-ph.EP
Photosynthesis is central to Earth’s biosphere and a prime candidate for sustaining complex life on habitable exoplanets, yet a thermodynamically consistent treatment of the work potential of stellar radiation at planetary surfaces is still lacking.
We develop a radiative-thermodynamic framework that quantifies the maximum useful work extractable for a given star-planet configuration and yields exergy-based bounds on photosynthetic power and long-wavelength absorption cutoffs.
From these we derive kinetically constrained red limits for high-ΔG photochemistry and apply them to Earth-like planets receiving the same bolometric flux from FGK and M blackbody hosts, computing thresholded photon supplies and truncated exergy fluxes below a photosystem II red limit.
For such planets the constraints confine single-photon oxygenic photosynthesis to near-infrared bands around Solar-type stars and to somewhat bluer wavelengths around late M dwarfs. Integrated over the stellar spectrum, the thresholded photon supply and truncated exergy available to drive a photosystem water-oxidation step are larger by factors ∼5 around FGK hosts than around T⋆≈3000~K M dwarfs.
For the Solar-Earth system, the exergy-based upper bound on O2 production exceeds the observed O2 throughput by several orders of magnitude, consistent with Earth’s photosynthetic efficiencies. Cool M dwarfs suffer a double penalty: fewer photons above threshold and a lower shortwave exergy fraction, yielding systematically tighter ceilings on high-ΔG photosynthesis than around FGK stars.
Our framework provides upper limits on photosynthetically harvestable power on habitable-zone planets and enables comparisons of photosynthetic potential across exoplanetary systems, and can be extended to multi-band photosystems.
Giovanni Covone, Amedeo Balbi
Comments: 10 pages, 3 figures. Submitted to MNRAS
Subjects: Earth and Planetary Astrophysics (astro-ph.EP)
Cite as: arXiv:2602.20789 [astro-ph.EP] (or arXiv:2602.20789v1 [astro-ph.EP] for this version)
https://doi.org/10.48550/arXiv.2602.20789
Focus to learn more
Submission history
From: Giovanni Covone
[v1] Tue, 24 Feb 2026 11:28:42 UTC (463 KB)
https://arxiv.org/abs/2602.20789
Astrobiology,

Explorers Club Fellow, ex-NASA Space Station Payload manager/space biologist, Away Teams, Journalist, Lapsed climber, Synaesthete, Na’Vi-Jedi-Freman-Buddhist-mix, ASL, Devon Island and Everest Base Camp veteran, (he/him) 🖖🏻