The joint XRISM X-ray observatory chronicles the strange winds of a dying star.

The Universe is a strange place. The X-ray Imaging and Spectroscopy Mission (XRISM) orbiting observatory recently highlighted this fact, when it was turned on a pulsar to document its powerful cosmic winds.

The XRISM observatory is a joint mission for NASA, the European Space Agency (ESA), and the Japan Aerospace Exploration Agency (JAXA). The mission was also a replacement for the ill-fated Hitomi X-ray observatory, which failed shortly after launch in 2016.

The discovery comes courtesy of ESA’s Resolve instrument, a soft X-ray spectrometer aboard XRISM. The study looked at neutron star GX 13+1. This is a strong X-ray source located in the constellation Sagittarius, very near the galactic plane towards the core of our galaxy. GX 13+1 is about 23,000 light-years distant. The system is a binary, consisting of a pulsar and a massive star in a 24.5-day orbit.

The Chandra X-ray observatory 'sees' pulsar GX 13+1. Credit: NASA/Chandra. The Chandra X-ray observatory ‘sees’ pulsar GX 13+1. Credit: NASA/Chandra.

Also known as pulsars, neutron stars are the collapsed cores and remnants of massive stars. The first pulsar was discovered in the heart of the Crab Nebula (Messier 1) in 1967. The name ‘pulsar’ comes from how they flash or ‘pulse’ in a rhythmic fashion. For a brief time shortly after discovery, these even earned them the moniker LGM-1, for ‘Little Green Men (!)’

The Resolve detector. Credit: ESA *The Resolve detector. Credit: ESA*

We now know that pulsars are natural, albeit bizarre, phenomena in the Universe. Like black holes, pulsars are surrounded by an accretion disc of in-falling hot matter. This inflow also fuels a powerful outflow, prominent in X-rays.

These powerful winds can influence local stellar environments, either causing gas clouds to collapse promoting new star formation, or denying this, and breaking these clouds apart. Feedback winds surrounding supermassive black holes can be so intense that they can dominate the star formation activity in their entire host galaxy.

The team used the opportunity to turn XRISM and Resolve on pulsar GX 13+1 as a possible analogue to outflow winds around black holes. Closer and brighter in X-rays than most supermassive black holes, GX 13+1 was a prime candidate for the study.

XRISM by the numbers. Credit: ESA. XRISM by the numbers. Credit: ESA.

They were in for a surprise. GX 13+1 suddenly began to brighten right before the observation window opened. This serendipitous occurrence gave astronomers a rare chance to study the outflow winds in detail. The collision pressure even hit the Eddington limit, the barrier at which the high-energy light pressure converts all of the in-falling matter into the out-flowing cosmic wind.

“When we first saw the wealth of details in the data, we felt we were witnessing a game-changing result,” says Matteo Guainazzi (ESA) in a recent press release. “For many of us, it was the realization of a dream that we had chased for decades.”

But this strange pulsar wind also seemed to have a personality all of its own. Specifically, this wind actually seemed to be sluggish, moving at ‘only’ a slow 1 million kilometers per hour. While that may seem swift, winds seen whipping away from supermassive black holes reaching the Eddington limit are real fast movers, traveling at 200 million kilometers per hour. That’s around a quarter of the speed of light.

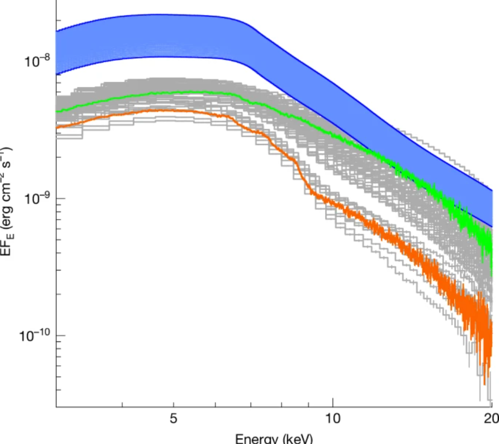
The historical variability for GX 13+1 seen in XRISM/NuSTAR corrected data (orange) versus RXTE (grey) and NuSTAR (blue). Credit: NASA/ESA/XRISM/NuSTAR. The historical variability for GX 13+1 seen in XRISM/NuSTAR corrected data (orange) versus RXTE (grey) and NuSTAR (blue). Credit: NASA/ESA/XRISM/NuSTAR.

This pulsar wind is also smooth, versus the clumpy wind seen emanating from the accretion discs surrounding supermassive black holes. At this point, researchers suspect the difference is due to the size and temperature of the surrounding accretion discs. Ironically, the discs around supermassive black holes are larger than the ones seen around pulsars, and cooler. The discovery is crucial in understanding just how pulsars and black holes influence their local environment and how it drives star formation.

The resolution of XRISM made this discovery possible. ESA also has future plans for a follow-up mission dubbed ATHENA (Advanced Telescope for High Energy Astrophysics) set to launch in 2037.

An artist's conception of the New Athena mission. Credit: ESA. An artist’s conception of the New Athena mission. Credit: ESA.

Although XRISM doesn’t get the press of Hubble or JWST, it’s an amazing instrument. This discovery shines light on hidden cosmic winds and their role in the Universe.