A team led by Ari Visbal from the University of Toledo has analyzed data from the James Webb Space Telescope (JWST) and believes they’ve found evidence of Population III (Pop III) stars—celestial objects thought to have formed just 200 million years after the Big Bang. These stars, made up primarily of hydrogen and helium, could hold the secrets to how the universe’s first galaxies and elements emerged.

Pop III stars are thought to be the very first generation of stars, created in a time when only the simplest elements existed. For years, astronomers have searched for these elusive stars, but they’ve remained undetected due to their extreme age and distance. Now, after years of searching, this new study provides the clearest evidence yet of their existence, sparking excitement among scientists eager to understand the origins of the cosmos.

What Makes Pop III Stars So Special?

Population III stars are significant because they are believed to have been composed almost entirely of hydrogen and helium, the two lightest elements formed during the Big Bang. These stars were likely far more massive than the stars we see today, burning brightly for a brief period before dying in violent supernovae that seeded the universe with heavier elements. Without these primordial stars, the complex elements required for life and the formation of galaxies would not have appeared.

Finding these stars is challenging, as they are thought to have lived only a short time before exploding, leaving little trace of their existence. Astronomers have long predicted their characteristics, but spotting one has remained elusive—until now. According to the new study, the galaxy LAP1-B, as observed by the JWST, could hold the key to identifying these ancient stars, offering a glimpse into a crucial moment in the universe’s early development, reports Phys.org.

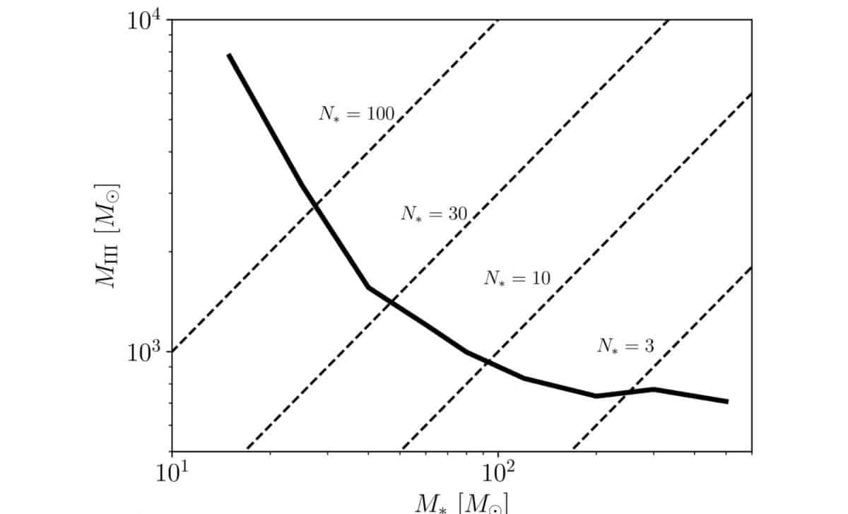
 The Total Stellar Mass Of Pop Iii Stars Required To Generate The Hα Emission Observed In Lap1 B As A Function Of The Mass Of Each Individual Star (computed From Equation (1) Assuming All Stars ArThe total stellar mass of Pop III stars required to generate the Hα emission observed in LAP1-B as a function of the mass of each individual star (computed from Equation (1) assuming all stars are of the same mass). This value is calculated assuming fractional numbers of stars are allowed, which is unphysical, but shows that the ionizing efficiency saturates at stellar masses of ∼200 M⊙. Diagonal dashed lines indicate constant numbers of stars – © The Astrophysical Journal Letters

LAP1-B: A Strong Candidate for Pop III Stars

LAP1-B, the distant galaxy in question, matches the key theoretical predictions about where and how Pop III stars should form. The galaxy lies within a dark matter clump about 50 million times the mass of our Sun, which fits the predicted environment for these ancient stars. Pop III stars were theorized to have formed in such dark matter halos, where gravity was strong enough to pull in hydrogen and helium to create the first stars.

Additionally, the stars in LAP1-B appear to be exceptionally massive, ranging from 10 to 1,000 times the mass of our Sun. This aligns perfectly with the characteristics of Pop III stars, which were theorized to be much larger than modern stars. These massive stars would have burned out quickly, but their size makes them easier to spot through their powerful light. Moreover, the stars in LAP1-B are clustered together, with a total mass in the range of a few thousand solar masses—another key feature of early star formation predicted by models of Pop III stars.

Clues in the Gas Surrounding LAP1-B

Further evidence supporting the theory that LAP1-B contains Pop III stars comes from the gas surrounding the galaxy. According to the study, the gas shows spectral signatures that suggest it contains only trace amounts of heavier elements. This finding is consistent with the idea that the gas has not been significantly enriched by earlier generations of stars.

The gas in LAP1-B also appears to have been recently altered by the explosions of early supernovae, which would have been caused by the first massive stars. These supernovae would have ejected light elements into the surrounding gas, enriching it with the elements that would later form galaxies, planets, and possibly life.

However, while the evidence for Pop III stars in LAP1-B is compelling, the discovery is not yet conclusive. There remain some uncertainties, such as how much material was ejected by the first supernovae and whether the models accurately capture the conditions of the early universe. Despite these uncertainties, the study provides a valuable roadmap for future research, including how techniques like gravitational lensing could help uncover more distant and faint objects that could be Pop III stars.

The Road Ahead: More Questions Than Answers

Though this discovery is exciting, it is still in its early stages. The team behind the study stresses that further research is needed to confirm whether LAP1-B truly contains Pop III stars. Researchers plan to refine their models and gather more data to understand the exact nature of the stars in this galaxy. The results could also guide future investigations, helping scientists use the JWST and other tools to detect other faint remnants of the universe’s first stars.