Sign up for the Starts With a Bang newsletter

Travel the universe with Dr. Ethan Siegel as he answers the biggest questions of all.

At the frontiers of science, surprises often appear.

Image of a JWST deep field, showing a lensed cluster of galaxies containing the early black hole CEERS 1019

This image shows a portion of the CEERS survey’s area, viewed with JWST and with NIRCam imagery. Within this field of view lies a galaxy with an active supermassive black hole: CEERS 1019, which weighs in at 9 million solar masses at a time from when the Universe was less than 600 million years old. It was the earliest black hole ever discovered, until that record was broken yet again in November of 2023.

Credit: NASA, ESA, CSA, Steve Finkelstein (UT Austin), Micaela Bagley (UT Austin), Rebecca Larson (UT Austin)

JWST’s superior size — and unique infrared capabilities — have broken many cosmic records already.

JWST NIRCam

Preliminary total system throughput for each NIRCam filter, including contributions from the JWST Optical Telescope Element (OTE), NIRCam optical train, dichroics, filters, and detector quantum efficiency (QE). Throughput refers to photon-to-electron conversion efficiency. By using a series of JWST filters extending to much longer wavelengths than Hubble’s limit (between 1.6 and 2.0 microns), JWST can reveal details that are completely invisible to Hubble. The more filters that are leveraged in a single image, the greater the amount of details and features that can be revealed.

Credit: NASA/JWST NIRCam instrument team

It’s discovered numerous early, more distant galaxies than ever before.

The grid features 15 images of distant galaxies, each labeled with identifiers and redshift values from z=4.75 to z=8.92. Captured by JWST, these celestial wonders include intriguing little red dots scattered across the vast cosmos.

This image shows 15 of the 341 hitherto identified “little red dot” galaxies discovered in the distant Universe by JWST. These galaxies all exhibit similar features, but only exist very early on in cosmic history; there are no known examples of such galaxies close by or at late times. All of them are quite massive, but some are compact while others are extended, and some show evidence for AGN activity while others do not.

Credit: D. Kocevski et al., Astrophysical Journal Letters accepted/arXiv:2404.03576, 2025

Within many of those galaxies, surprises do indeed abound.

JADES-GS-z14-0, in the top inset box, is found behind (and just to the right of) a closer, brighter, bluer galaxy. It was only through the power of JWST spectroscopy with incredible resolution, capable of separating the two sources, that the nature of this record-breakingly distant object could be determined. Its light comes to us from when the Universe was only 285-290 million years old: just 2.1% of its current age. JADES-GS-z14-1, just below it, comes from when the Universe was ~300 million years old. Compared to large, modern-day galaxies, all early galaxies contain a paucity of stars and have irregular, ill-defined shapes.

Credit: S. Carniani et al. (JADES collaboration), arXiv:2405.18485, 2024

They appear in great abundance: greater than initially predicted.

A plot showing the location of a nebula in relation to stars.
Keywords: stars

Whereas the blue and red-dotted lines at the lower-right of this diagram indicate the populations of modern day galaxies with black holes and stars in them, the JWST data from examining early galaxies, shown in multicolored data points elsewhere on the graph, indicate a severe departure from the modern-day relationship. This has significant implications for the seeds and origins of supermassive black holes.

Credit: F. Pacucci et al., Astrophysical Journal Letters, 2023

Many display evidence of actively feeding supermassive black holes.

pandora cluster nircam chandra uhz1

A very distant galaxy, found in the background of JWST’s image of galaxy cluster Abell 2744 (Pandora’s cluster), emits copious amounts of X-rays, consistent with a black hole of between 10 and 100 million solar masses. The galaxy itself has only about that much mass in stars, making this the first “missing link” in discovering the connection between black hole and galaxy growth in the early Universe.

Credits: X-ray: NASA/CXC/SAO/Ákos Bogdán; Infrared: NASA/ESA/CSA/STScI; Image Processing: NASA/CXC/SAO/L. Frattare & K. Arcand

Some even possess strong emission lines, indicating the presence of hot, ionized plasmas.

The image shows a bright spot labeled

This photometrically derived image of galaxy JADES-GS-z13-1-LA, as acquired with a variety of JWST NIRCam photometric filters, showcases a bright galaxy that has no signs of light at wavelengths below ~1.7 microns. The intergalactic medium is extraordinarily efficient at blocking that shorter-wavelength light, but why this galaxy displays a bright hydrogen emission line that isn’t blocked presents a mysterious puzzle for astronomers.

Credit: J. Witstok et al., arXiv:2408:16608, 2024

However — and this is important — none of them show evidence for being truly “pristine.”

Two graphs: the top shows spectral data with annotated lines from three telescopes, exploring one of the biggest mysteries—the origin of the universe; the bottom plots UV spectral slope versus absolute UV magnitude with highlighted data points and colored bands.

This graph shows the combination of the Hubble, JWST NIRCam, and JWST NIRSpec data for galaxy RXJ2129-z8HeII. There is an unusually strong, blue tilt to the stellar spectrum of this object, but the evidence for any pristine material amidst the highly enriched gas and stars that are present is too flimsy to make a compelling case for the presence of any pristine, Population III (a.k.a., the “first”) stars. No such population, as of 2026, has yet been found.

Credit: X. Wang et al., Astrophysical Journal Letters, 2024

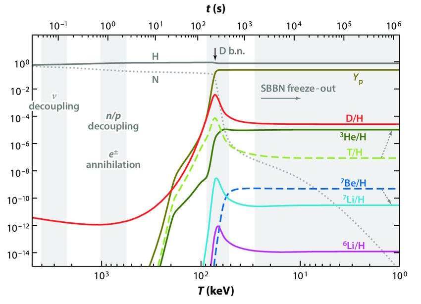
Immediately following the Big Bang, only hydrogen and helium are present in any significant abundance.

production light elements BBN

This plot shows the abundance of the light elements over time, as the Universe expands and cools during the various phases of Big Bang Nucleosynthesis. By the time the first stars form, the initial ratios of hydrogen, deuterium, helium-3, helium-4, and lithium-7 are all fixed by these early nuclear processes.

Credit: M. Pospelov & J. Pradler, Annual Review of Nuclear and Particle Science, 2010

Heavier elements, like carbon, oxygen, and iron only arise once stars form, live, and die.

very massive star supernova

The anatomy of a very massive star throughout its life, culminating in a type II (core-collapse) supernova when the core runs out of nuclear fuel. The final stage of fusion is typically silicon-burning, producing iron and iron-like elements in the core for only a brief while before a supernova ensues. The most massive stars achieve a core-collapse supernova the fastest, typically resulting in the creation of black holes, while the less massive ones take longer, and create only neutron stars.

Credit: Nicolle Rager Fuller/NSF

Even the earliest, most pristine galaxies ever discovered contain evidence for this processed material.

Scatter plot showing dust-to-stellar mass ratio vs. galaxy mass, color-coded by redshift; JWST early galaxies are highlighted, with AGN and GELDA sources marked by Xs and triangles, respectively.

This plot shows galaxies from the first ~1.5 billion years of cosmic history, color-coded by redshift and plotted by their metallicity (x-axis) as a function of the dust-to-stellar mass ratios (y-axis) found within them. The majority of low-metallicity galaxies are also dust-poor and are known as GELDAs, dominating the very early Universe, while later-time, more dust-rich galaxies are much more enriched in heavy elements.

Credit: D. Burgarella et al., Astronomy & Astrophysics accepted/arXiv:2504.13118v2, 2025

That’s why it’s no surprise that oxygen exists in ultra-distant galaxy JADES-GS-z14-0.

Two graphs with yellow spikes are shown on the left over a background of galaxies; both point to a magnified blue patch on the right, highlighting a distant galaxy where JWST has detected oxygen in a region of interest in space.

The galaxy JADES-GS-z14-0, imaged with JWST (background) and ALMA (inset), was found to contain telltale signatures of oxygen in its spectra, which were acquired by two independent teams observing this galaxy with ALMA. Its confirmed presence marks the earliest detection of oxygen in the Universe to date.

Credit: ALMA (ESO/NAOJ/NRAO)/S. Carniani et al./S. Schouws et al/JWST: NASA, ESA, CSA, STScI, Brant Robertson (UC Santa Cruz), Ben Johnson (CfA), Sandro Tacchella (Cambridge), Phill Cargile (CfA)

The second most distant galaxy known at present, it was found to contain oxygen.

Among the most distant galaxies, GN-z11 and GHZ2 are among the brightest, and yet are still remarkably compact. JADES-GS-z14-1 is more typical: fainter but still very compact, while JADES-GS-z14-0 is more puzzling: bright and extended, suggesting a physical size of ~1700 light-years at its incredible distance.

Credit: S. Carniani et al. (JADES collaboration), arXiv:2405.18485, 2024

In truth, the ability to detect this oxygen signature directly is the only remarkable achievement here.

A variety of spectral features can be teased out of the NIRSpec/PRISM spectra of JADES-GS-z13-1-LA. The enormous emission line at ~1.7 microns is due to Lyman-alpha, but elsewhere, carbon, helium, oxygen, and carbon lines can all be seen as well. The enormous hydrogen emission line is unique to this object; no other JWST-imaged object from the first ~500 million years of cosmic history has one.

Credit: J. Witstok et al., arXiv:2408:16608, 2024

All hitherto discovered galaxies exist more than 250 million years after the Big Bang.

A colored pixelated grid with rectangular outlines; a legend in the top right labels blue as F115W, green as F200W, and red as F277W—capturing data from the JWST to record a distant galaxy.

This image shows a three-filter NIRCam view of galaxy MoM-z14: the new record holder (as of May 16, 2025) for the most distant galaxy ever discovered. Invisible at wavelengths below 1.8 microns, JWST has measured its spectrum and detected several emission lines, cementing its status as arising from when the Universe was a mere 282 million years old.

Credit: R.P. Naidu et al., Open Journal of Astrophysics (submitted)/arXiv:2505.11263, 2025

Until we go earlier, smaller, and fainter, the first (oxygen-free) stars and galaxies will remain elusive.

A bright, blue nebula with glowing stars scattered throughout, surrounded by the dark background of outer space—inviting wonder about the biggest mysteries and the origin of our universe.

An artist’s conception of what a region within the Universe might look like as it forms stars for the first time. As stars shine, accumulate matter, and contract, radiation will be emitted, both electromagnetic and gravitational. Inside the star, gas pressure fights against gravitation, holding the various interior layers up against gravitational collapse. Surrounding the star-forming region is darkness, as neutral atoms effectively absorb that emitted starlight, while the emitted ultraviolet starlight works to ionize that matter from the inside out.

Credit: Pablo Carlos Budassi/Wikimedia Commons

Mostly Mute Monday tells an astronomical story in images, visuals, and no more than 200 words.

Sign up for the Starts With a Bang newsletter

Travel the universe with Dr. Ethan Siegel as he answers the biggest questions of all.