Supersonic air travel is great if you want to get somewhere quickly. Indeed, the Concorde could rush you from New York to London in less than three and a half hours, over twice as fast as a conventional modern airliner. Despite the speed, though, supersonic passenger service has never really been sustainable thanks to the noise involved. Disruption from sonic booms has meant that supersonic travel over land is near-universally banned. This strictly limits the available routes for supersonic passenger jets, and thus their economic viability.

Solving this problem has been a hot research topic for some time. Now, it appears there might be a way forward for supersonic air travel over land, using a neat quirk of Earth’s atmosphere.

The Problem With Sonic Booms
The Concorde—devastatingly fast, and far too loud for its own good. Credit: Eduard Marmet, CC BY SA 3.0

When supersonic airliners were first envisaged, the issue of sonic booms was recognized, but thought to be a minor one. Unfortunately, public opinion soon made it clear that wasn’t the case. As research and military aircraft began to punch through the sound barrier, the resulting sonic booms over populated areas lead to widespread complaints and even property damage in some cases.

As the Concorde developed, hopes remained high that the issue wouldn’t be insurmountable. In 1969, British Aircraft Corporation noted that they “do not expect that its sonic boom will be unacceptable to the great majority of the public.” However, in the face of widespread protest and opposition, the writing was on the wall. The world’s first supersonic airliner would be hamstrung by regulations, almost solely able to use its Mach 2 party trick on stretches of open water.

A demonstration of a sonic boom forming at Mach 1. Credit: Jacob Bertolotti, CC0

By the time of the Concorde’s initial revenue flights in the 1970s, the sonic boom was well understood. A plane pushing through the air is much like a boat pushing out bow and stern waves as it moves through the water. As a plane approaches the sound barrier, the pressure waves emanating from the aircraft get closer and closer together. At Mach 1, they effectively collide, and form into a single large shockwave. As speed increases, a characteristic shock cone is formed, with its apex at the nose of the aircraft.

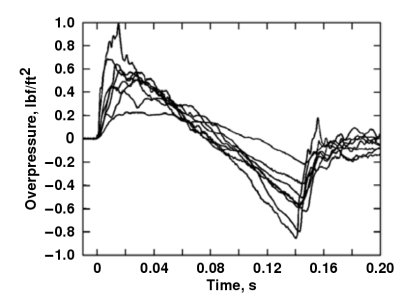
To a stationary observer on the ground, the passing shockwave appears as a fast, large rise in pressure, followed by a significant negative pressure, before returning to normal. This is referred to as an “N-wave,” due to the characteristic shape the sonic boom leaves when graphed out.

The characteristic N-wave of a sonic boom. Credit: NASA, public domain

The positive pressure spike followed by the negative pressure spike are what creates the auditory “double boom” heard by observers. The overpressure from a sonic boom is great enough to cause minor damage such as shattering glass windows on buildings under the flight path.

The loud noise also typically creates great annoyance to those in the affected area. When an aircraft is flying at altitude, it can create an uncomfortable sonic boom that covers a wide stretch of land under the flight path, dependent on altitude, and it continues to do this for as long as it flies faster than the sound barrier. The affected area is typically referred to as the “boom carpet” for this reason.

Bending The Booms

If engineers were able to reduce the volume of a sonic boom or otherwise redirect it, supersonic travel over land would no longer face public or regulatory opposition. For this reason, a great deal of research has been undertaken into ways to mitigate or eliminate sonic booms created by fast-flying aircraft.

A particularly promising area of research has involved the theory of the “Mach cutoff.” The idea is that the pressure waves of a sonic boom could be redirected away from the ground by using the properties of the Earth’s atmosphere.

The Mach cutoff effect uses the atmosphere itself to refract sonic booms away from the ground. Credit: Boom Supersonic

A sonic boom is effectively just a powerful pressure wave, and thus, like any wave, it’s subject to refraction. This is where a wave’s path bends when it travels through different media at different speeds. For example, light waves bend when they travel through air and water, because the speed of propagation of light is different in each. The same is true of sound travelling through air at different temperatures. At lower altitudes, the air is typically warmer and sound travels faster. At higher altitudes, the air is cooler, and sound travels slower. Thus, as the pressure waves travel downwards from an aircraft at high altitude, they reach the warmer air and are refracted, tending to bend away from the ground. The idea behind the Mach cutoff effect is to find a combination of conditions where the sonic boom is refracted such that it never hits the ground. The Mach cutoff itself refers to the critical altitude below which the sonic boom is effectively not heard.

The Boom XB-1 test aircraft, used to test the Mach cutoff effect. Credit: Boom Supersonic

This technique has been the focus of research by Boom Technology, a company aiming to bring back supersonic air travel. Working with NASA, the company has been running tests with its Boom XB-1 test aircraft. Earlier this year, the company successfully attained supersonic flight without the sonic boom reaching the ground. This was confirmed by microphone arrays under the flight path, which verified there was no characteristic N-wave or pressure spike hitting the surface as the XB-1 flew multiple passes overhead. Test flights in February saw the company’s test aircraft hit top speeds of Mach 1.12 without a sonic boom hitting the ground. The company hopes to use the learnings from these tests to guide the development of the Boom Overture, a full-sized supersonic passenger airliner.

Beneath the cutoff altitude, the N-wave pressure spike from the sonic boom is effectively not felt. There is, however, still a sound signature caused by “evanescent waves.” Research is ongoing as to the impact of these waves in the “shadow side”  of the Mach cutoff altitude. Credit: NASA Paper

However, using the Mach cutoff technique is not a perfect solution to supersonic travel over land. The problem is that it’s highly dependent on ambient conditions. The local temperature, atmospheric pressure, and prevailing winds can all affect the local Mach cutoff altitude. Thus, to fly supersonic in this manner requires a flight system capable of monitoring local conditions and keeping the aircraft’s flight parameters in the region where Mach cutoff is possible. Research by NASA has also indicated that it is not possible to exploit this phenomenon at very high speeds. Above Mach 1.3, it’s not realistically possible to refract the sonic boom enough to have it miss the ground.

NASA used Schlieren imaging techniques to visualize the shockwaves created by the XB-1 in supersonic flight. Credit: NASA/Boom Supersonic

These factors mean that even when exploiting the Mach cutoff, there would be some limitations on supersonic flight over land. Most commercial airliners fly at Mach 0.75 to Mach 0.85. Boom’s hypothetical future airliner could maybe top out at Mach 1.3 over land to avoid sonic booms hitting the ground. This would still net some serious speed gains—but perhaps only slashing travel times by 40-50% on overland routes. Boom expects that it could achieve a flight from San Francisco to New York in 3 hours and 30 minutes, versus over 5 hours for standard airliners today.

Fuel use is also expected to be very high in the supersonic flight regime, thanks to the extra drag experienced at higher speeds. There is also reason to believe that different routes might face very different conditions.

A study by the University of Pennsylvania used atmospheric data to determine that the maximum speed for Mach cutoff was much higher for westbound flights across the continental US versus eastbound flights, thanks to typical prevailing weather conditions over the country and their effect on the local speed of sound. In any case, Boom still plans to ensure its airliner is capable of achieving up to Mach 1.7 when sound is not an issue, which would make it at least comparable to the Concorde’s top speed of Mach 2.04 when travelling over open ocean.

As far as supersonic passenger travel goes, things are currently looking brighter than ever. There is now a potentially viable technique for airliners to fly faster than the sound barrier over populated areas. However, the economics and practicalities will still have to work out if we are ever to see a supersonic transport in revenue service ever again.