A new study suggests it’s not just gaining weight that affects our health over a lifetime, but also when we put on the pounds, with weight gain during early adulthood more strongly associated with mortality risk.
Participants who first developed obesity between the ages of 17 and 29 were around 70 percent more likely to die of any cause during the follow-up period, compared with those who hadn’t developed obesity by the age of 60.
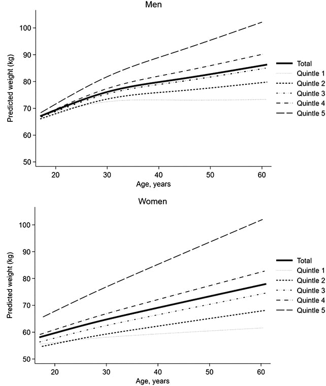
Led by a team from Lund University in Sweden, the study was designed to track weight over time rather than relying on a single snapshot. Information on more than 600,000 people was obtained from an existing dataset, including only those with at least three recorded weight measurements between ages 17 and 60.
While the study doesn’t show that the early weight gain was specifically responsible for the deaths, rather than any other factor, we know that obesity is linked with a host of health problems.
“The most consistent finding is that weight gain at a younger age is linked to a higher risk of premature death later in life, compared with people who gain less weight,” says epidemiologist Tanja Stocks, from Lund University.
According to the researchers, it’s possible that spending more years living with the biological stress of being overweight, with the body under more pressure and at a greater risk of wear and tear than normal, is a reason for the earlier deaths statistic.
The team tracked overall mortality and deaths linked to numerous obesity-related conditions, including cardiovascular diseases, several kinds of cancer, and type 2 diabetes.
Obesity onset was defined as the first time that a recorded body mass index (BMI) reached 30 or higher. BMI was standard practice at the time the weight measurements were taken, but definitions of obesity are evolving.
In addition to the primary finding about weight gain in early adulthood, several other associations are worth noting. As expected, those who gained the most weight across any and all ages were more likely to die during the study period.
Cardiovascular diseases, including heart attacks and stroke, accounted for the largest share of these associations.
“Our findings of higher all-cause and cardiovascular disease mortality associated with early weight gain and obesity onset suggest that the duration of obesity, rather than weight gain in late adulthood, may be the key factor underlying risk,” the researchers write in their published paper.
“Long-term exposure to insulin resistance, inflammation, and hypercoagulation due to adipocytokines released from adipose tissue likely contribute to these risks.”
Deaths from type 2 diabetes and certain cancers were also linked to obesity, but a few causes of death – including bladder cancer in men and stomach cancer in women – showed no connection, statistically.
There were differences between men and women, too.
For cancer in women, the increased risk of premature death linked to obesity was roughly the same regardless of when the weight gain occurred. This suggests another factor is more significant here than elsewhere – perhaps hormonal changes related to menopause.
Male and female weight gain was tracked over the course of adult lifetimes. (Le et al., eClinicalMedicine, 2026)
“If our findings among women reflect what happens during menopause, the question is which came first: the chicken or the egg?” says epidemiologist Huyen Le, from Lund University.
“It may be that hormonal changes affect weight and the age and duration over which these changes occur – and that weight simply reflects what’s happening in the body.”
There are limitations to mention here. Exercise and diet weren’t accounted for and may well have played a role in the mortality rates observed by the researchers – we know they’re also crucial to overall health.
Adding data on these factors could be an option for future study, the study authors note, as could examining fat distribution, which newer definitions of obesity do, and distinguishing between fat and muscle mass.
But with so many participants involved and weight tracked over several years for each one, the researchers suggest these are important findings for public health: that preventing obesity should be done as early in life as possible.
Related: Study Links 2 Simple Eating Habits to Lasting Lower Weight
To put the mortality risk discovered here into numbers: if 10 out of every 1,000 participants without early obesity died over the follow-up period, about 17 in 1,000 died among the group who developed early obesity.
“We shouldn’t get too hung up on exact risk figures,” says Stocks. “They are rarely entirely accurate, as they are influenced, for example, by the factors taken into account in the study and the accuracy with which both risk factors and outcomes have been measured.”
“However, it’s important to recognize the patterns, and this study sends an important message to decision-makers and politicians.”
The research has been published in eClinicalMedicine.
