A newly analyzed planetary system spotted by NASA’s TESS mission is challenging long-standing assumptions about how planets form and evolve, according to a study published in Science. Unlike the orderly layouts typically observed, the TOI-201 system presents a strikingly irregular architecture, offering scientists a rare window into the early dynamical reshaping of planetary systems.

A Planetary System That Breaks The Rules

Most known planetary systems follow a predictable pattern: planets form in a flattened disk and remain aligned, with similar sizes and orbital spacing. The TOI-201 system disrupts that expectation. Instead of uniformity, it hosts three dramatically different objects with misaligned orbits and strong gravitational interactions that actively reshape their motion.

“Most planetary systems appear as ‘peas in a pod,’ meaning the planets have a similar range of parameters and share a similar orbital plane,” said Amaury Triaud of the University of Birmingham. “This is not the case in the TOI-201 system, which contains three orbiting objects very distinct from one another, and which interact gravitationally.”

The system’s unusual configuration suggests that what astronomers often consider a stable end state may actually be the result of earlier chaos. Here, that chaos is still visible. Each planet follows its own tilted path, breaking the near-perfect alignment seen in our own solar system. According to Tristan Guillot from the Observatoire de la Côte d’Azur,

“In the solar system, almost all planets are coplanar, but here, this is not the case and each planet is different.” He added that this configuration “points to some active orbital reorganisation within the system, providing us a glimpse of what happens shortly after planet formation.”

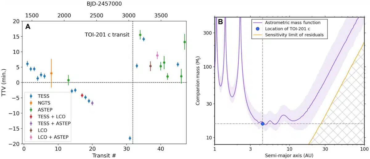
Sciadv.aef2618 F1 Evidence for TOI-201 c from TTVs and astrometry.
(A) TTVs for TOI-201 b from TESS and ground-based facilities showing a gradual decline followed by a sudden discontinuity at the time of the outer companion’s transit. (B) The astrometric acceleration observed in Hipparcos-Gaia astrometry is consistent with the properties of the ≈15 MJ outer companion, and otherwise places limits on more massive companions in the system.
Credit: Science

A Sudden Orbital Mystery Sparks Global Attention

The system first drew attention when astronomers noticed something unexpected: one of its planets, TOI-201b, began arriving late during its transit across its star. This deviation was not subtle, it shifted by roughly 30 minutes, a massive discrepancy in orbital timing.

“Usually, planets are like metronomes with each transit in front of the star happening exactly one orbital period after another,” Triaud explained. “However, we were following TOI-201b, and suddenly the planet started transiting about half an hour late.”

This anomaly triggered a coordinated international effort. Observatories worldwide joined forces to monitor the system, confirming that gravitational interactions between the planets were actively altering their orbits in real time. These timing variations became a key clue, revealing the invisible gravitational tug-of-war shaping the system.

Sciadv.aef2618 F2 Photodynamical analysis of TTVs and RVs for TOI-201.
(A) Best-fit TTV model for TOI-201 d. (B) TTVs of TOI-201 b from TESS (black points) and ground-based facilities (green points) and best-fit model. (C) RV data and best-fit RV model. (D) Transit and best-fit model for TOI-201 c. All the panels show the model posterior median as a blue line and the 1-σ posterior uncertainties as light blue shading. In (B) and (C), the uncertainties are smaller than the line width.
Credit: Science

Extreme Observing Conditions Unlock A Hidden System

Part of what made this discovery possible was an unlikely location: Antarctica. A telescope positioned in this extreme environment provided the stable, long-duration observations needed to track the system’s subtle orbital changes.

“This discovery was enabled by having a telescope in Antarctica,” Triaud noted. “Whilst the logistics involved are difficult, its unique situation and its access to optimal astronomical conditions are key to studying exoplanetary systems with long orbital periods such as TOI-201.”

The harsh conditions offer a major scientific advantage, continuous darkness during winter months allows uninterrupted monitoring, which is essential for detecting long-period planets and their interactions. Without this vantage point, the system’s complexity might have remained hidden.

A Window Into Planetary Evolution

The findings, detailed in the journal Science, go beyond cataloging an unusual system. They provide a rare observational snapshot of planetary evolution in action. Instead of a static arrangement, TOI-201 reveals a dynamic environment where gravitational forces are still sculpting the architecture.

“The goal was to characterize the TOI-201 planetary system to understand not just what planets are there, but how they interact with each other dynamically,” said Ismael Mireles, the study’s lead researcher from the University of New Mexico. “This helps scientists understand how planetary systems like our own solar system form and evolve over time.”

By capturing a system in the midst of orbital reshuffling, astronomers gain direct evidence of processes that are usually inferred from theory alone. It suggests that calm, orderly systems like ours may be the outcome of earlier instability rather than the norm from the start.

What This Discovery Means For Future Exoplanet Research

The TOI-201 system is more than an oddity, it represents a crucial piece of the broader puzzle of planetary formation. Its misaligned orbits and gravitational complexity challenge simplified models and push scientists to rethink how common such chaotic systems might be.

As detection methods improve and long-term monitoring expands, more systems like this could emerge. Each one adds depth to our understanding of how planets settle, or fail to settle, into stable configurations. For now, TOI-201 stands as a vivid reminder that the universe rarely follows neat patterns, even when we expect it to.